即刻App年轻人的同好社区
下载
App内打开
吧唧一口小丸子
9关注2被关注0夸夸
👸🏻自由知识铺
吧唧一口小丸子
1年前
【高考物理】第八章 静电场
00
吧唧一口小丸子
2年前
初中
九科《同步习题➕精品试卷》
《初中全科目 中考真题》
九科—全套思维导图
黄保余中学语文视频(包括作文 讲义 阅读理解)
初中九科知识点总结归纳(电子版)

高中
21天学完高中数学(讲义➕练习册➕视频)
九科三年学霸笔记
中国历代疆域图
历史复习提纲(包括选修—非常详细版)
中国与世界历史时间轴
《史纲》《毛中特》中公重要会议知识点➕知识点串讲
欧洲历史地图
《古代文化常识》
《高考真题》
《八省联考》
《微专题小练习》
《一轮二轮专项练习》
《衡水密卷》
《金考卷》
数学公式大全
赵显礼李林YOYO夏梦迪

Grammar in use初级终极高级(包括电子版➕配套习题➕音频)
颠覆你想象的高效笔记术
快速阅读,10倍提升阅读效率

还有好多没整理出来的,真的非常非常全!#高考 #中考
00
吧唧一口小丸子
2年前
古人最心酸的十一大遗憾:
1、陆游的遗憾:
他朝若是同淋雪,此生也算共白头。
2、纳兰性德的遗憾:
人生若只如初见,何事秋风悲画扇
3、崔护的遗憾:
人面不知何处去,桃花依旧笑春风。
4、贺铸的遗憾:
当年不肯嫁春风,无端却被秋风误。
5、李白的遗憾:
早知如此绊人心,何如当初莫相识。
6、晏殊的遗憾:
无可奈何花落去,似曾相识燕归来
7、李商隐的遗憾:
此情可待成追忆?只是当时已惘然。
8、苏轼的遗憾:
人有悲欢离合,月有阴晴圆缺,此事古难全。
9、李煜的遗憾:
流水落花春去也,天上人间。
10、仓央嘉措的遗憾:
世间安得双全法,不负如来不负卿
11、元稹的遗憾:
曾经沧海难为水,除却巫山不是云
00
吧唧一口小丸子
2年前
资深班主任告诉你,初中生各科成绩差,寒假应该怎么抓?

1、语文不行的,寒假先把背诵抓起来,上学期的古诗文还背不熟的,抓紧再背一遍,要求默写的一定要一字不差的写出来。做到这点,再去背下学期的古诗文。最后再练练阅读理解,找一本有模版的教辅,跟着学学套路,练熟后,以后考试直接套模版答题,比你自己在那里瞎答要有用的多。

2、数学不行的,回过头把课本吃透,每一条公式都要会推导,每一个概念都要理解。课本上的例题和习题都要动手做几遍,要求不看答案就能马上做出来,这些都是母题,一定要吃透。最后把你过往考试试卷拿出来,把里面的每道错题摘出来,整理到错题本里面,然后反反复复去刷这些错题。

3、英语不行的,那一定是单词量不过关!寒假重中之重就是记单词,除了课本上的词汇量外,下学期的生词也要去背,然后给自己准备一套《初中英语必考2000词》,只要寒假把这套单词书背完,下学期你的英语成绩一定会有质的提升。

然后晚上去练完形填空阅读理解,这是失分重灾区,要定期练,一周两篇完型两篇阅读,练题感语感。

最后是语法,初中语法难点大多集中在初二,可以看看英语兔的语法讲解视频,看完再找题目练练手。

4、生物不行的,从细节抓起,书本要去读,每一个字都不要放过,尤其是书里面的小字、配图,一定要多留意,很可能这些就是题目的关键点。生物其实就是要多读多背,特别是考前,把课本拿起来再背多几遍,那你考试的把握就会更大。

5、地理不行的,一定是不会看图。把地图准备起来,中国地图、世界地图,多看多观察,老师上课的时候认真听,做好笔记,看不懂的地方下课及时问老师。有空的时候就拿张白纸,默画地图,每个地方的气候变化,风土人情,地貌特点都要搞清楚。

6、物理不行的,那一定是你没有养成用大脑给图的习惯。看到一个知识点,大脑中就要浮现出相关的图,比如力的作用,有几个力,作用力是朝什么方向,脑子里要有一个大概的图。物理的知识点都是很抽象的,如果不会把抽象的东西图形化,学起来就会很吃力。

另外,物理跟数学一样,公式定理icon概念这些,一定要吃透,然后就是多练题,多整理错题。

7、化学不行的,一定是元素周期表记得不牢固,对实验不熟。先把周期表背起来,然后再把课本上那些物质、反应、方程式一一个推敲,搞懂。要学会从试卷上找答案,化学的题目,几乎没有一个字是多余的,一定要留意题干、图表、备注等提示。
00
吧唧一口小丸子
2年前
藏在古诗里的新年文案/除夕文案/朋友圈文案❤

1.今宵是除夕,明日又新年。
(译文:今晚就是除夕之夜,明天又是新的一年。)

2.辞暮尔尔,烟火年年,朝朝暮暮,岁岁平安。
(译文:日日年年,朝朝暮暮,岁岁平安,富贵有余。

3.愿得长如此,年年物候新。
(译文:但愿人生永远像元日这天一样欢乐,年年岁岁,四时风物,都如此新鲜。)

4.共欢新故岁,迎送一宵中。
(译文:欢宴饮酒,喜度良宵。迎新年,辞旧岁,通宵歌舞。)

5.愿新年,胜旧年。
(译文:祝愿新的一年,更比去年好。)

6.天地风霜尽,乾坤气象和。历添新岁月,春满旧山河。
(译文:新春佳节,天地间风霜尽去。春意盎然,日历上又添了一岁,新春代替了旧气象。)

7.愿新春以后,吉吉利利,百事都如意。
(译文:祝福新年里,大吉大利,万事如意。)

8.万物迎春送残腊,一年结局在今宵。
(译文:世间万物都在告别残冬,迎接新春的到来,过了今晚,一年就结束了。)

9.爆竹声中一岁除,春风送暖入屠苏。
(译文:爆竹声中旧的一年已经过去,迎着和暖的春风,开始畅饮屠苏酒。)

10.笙歌间错华筵启,喜新春新岁。
(译文:新春时节,筵席摆开,笙歌高奏,大家都喜迎新年。)

11.愿除旧妄生新意,端与新年日日新。
(译文:愿人心扫除旧的痴迷妄念,放下过去和新年一起走向未来。)

12.岁岁年年,共欢同乐,嘉庆与时新。
(译文:岁岁年年有今朝,同享欢乐,常乐常新。)

13.如花似叶,岁岁年年,共占春风。
(译文:只愿我与你的情谊似这海棠花叶,年年岁岁共春风。)

14.一日今年始,一年前事空。
(译文:过去的时候就说过去的一年就过去了,就算是再有百年,应该就都和一年一样的吧。)

15.律回春渐,新元肇启,烟火照夜白。
(译文:新春快到了,新的一年到来了,烟火满满,照亮整个夜晚。)
00
吧唧一口小丸子
2年前
董宇辉推荐的《背书七步法》

1、大声朗读。先把不认识的生字找出来查字典,然后开始慢速大声读

2、不用多读,读完第三遍开始背。这样每读一遍就会有目标感和适当紧张感,注意力更集中,这样的记忆效果更好。

3、圈出关键词,再串联起来,在大脑中形成画面进行形象记忆。

4、捂着耳朵,闭着眼睛进行背诵,结果一定让你惊讶。

5、背好的内容,对着镜子背给自己听。

6、默写。默写完对着原文查漏补缺,进行加强记忆。

7、早上和晚上是黄金记忆时间段。睡前读两遍,早上起来背一遍。结合艾宾浩斯遗忘曲线,利用碎片化时间重复记忆28次以上,从短期记忆变成长期记忆。
00
吧唧一口小丸子
2年前
高中数学25个函数图像结论!!!
00
吧唧一口小丸子
2年前
高中数学抽象函数及其性质的5种考法归纳总结 ​​​
00
吧唧一口小丸子
2年前
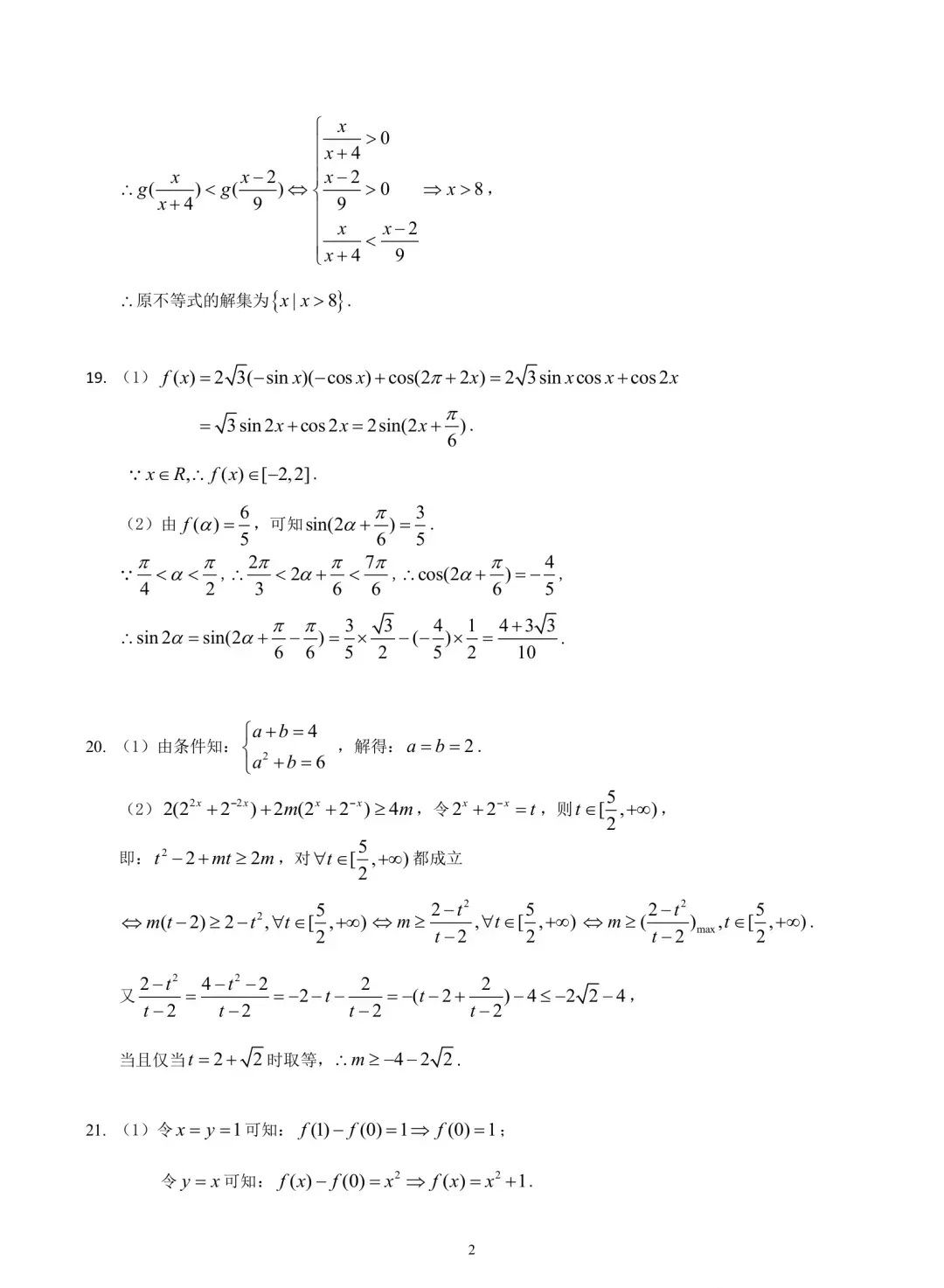
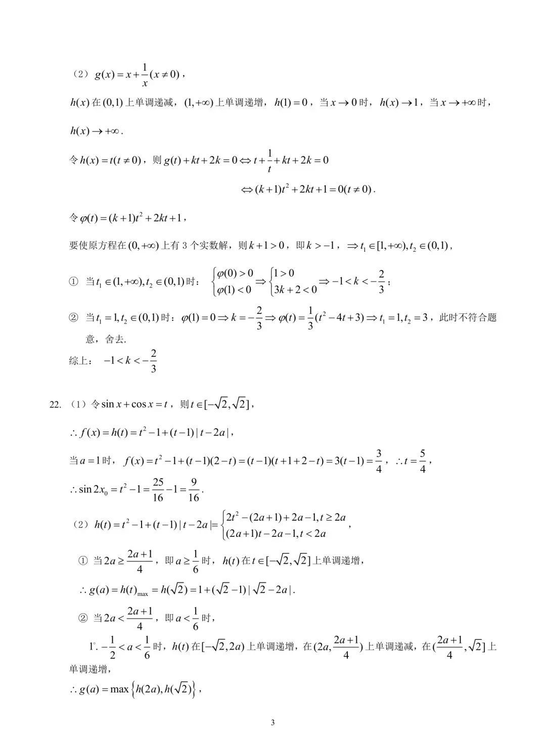
重庆南开中学2025届高一期末考试数学试题及其参考答案 ​​​
00
吧唧一口小丸子
2年前
【高中网课】九科全/学而思体量巨大/内容丰富全面
难度中等偏上
00