即刻App
年轻人的同好社区
下载
App内打开
考虫APP
3
关注
2k
被关注
0
夸夸
考虫官方账号
大学生的第二大学
考虫APP
7年前
如果用大学四年举办一场发际线后退大赛,你们觉得哪个专业的人容易获胜?
15
18
0
考虫APP
7年前
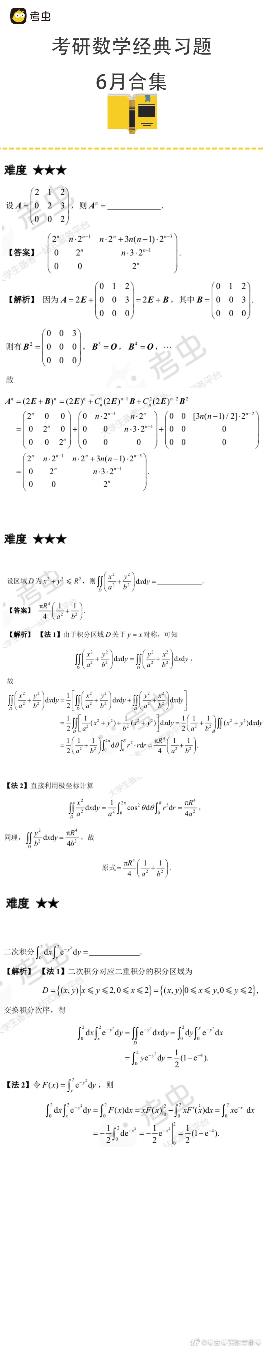
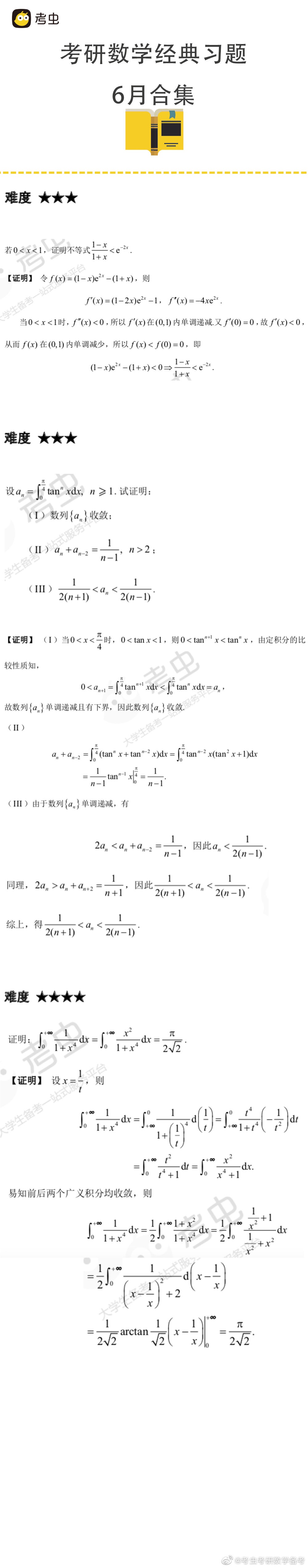
【考研数学必练经典习题合集】
涵盖高数,线代各章重点题型,按照难度划分
由易到难,层层递进的练习,暑假刷题保命😎
28
5
8
考虫APP
7年前
考虫 & 一点资讯 四六级明星加油官@GEM邓紫棋为全国大学生加油啦
#青春不将就# 虫子们冲鸭!
00:18
17
3
2
考虫APP
7年前
古人云:学而不吃会饿,吃而不学会胖!(古人:不,我们没说过)
考虫联合必胜客搞事情啦!点击小程序抽奖,3台iPad、《考虫必胜课》定制课、100元北京必胜客代金券,等你来拿!
即日起,北京14家必胜客门店,将提供“考虫主题角”供大家边吃边学!赶快来聚会吧~
12
0
0
考虫APP
7年前
【学校没考研书单,自己怎么找?】
·很多学校只给考研大纲不给考研参考书,这种情况怎么找参考书目?
·对于给到参考书目的学校,想找补充资料怎么找?
·戳图了解4个找资料的小方法~
30
4
3
考虫APP
7年前
五四运动100周年讲话考点总结
25
5
0
考虫APP
7年前
【考研数学必背基础公式(全)】
考研数学常用的中学公式有哪些?
初等代数,平面几何,三角函数虽然基础但是都很重要😎
35
7
12
考虫APP
7年前
【考虫VLOG】考虫家宴 暨 “虫硕”分享会
去西安见见未曾谋面的“研友”们, 150人大型网友见面会 ,(考研成功经验分享会)陕西站
有吃有喝,有说有笑。此战成硕,虫不放弃。
考研是段孤独的旅程,考虫始终在路上陪伴。
04:33
8
2
2
考虫APP
7年前
【最新整理:近十年500个考过10次以上的词汇 第5期】
· 考虫名师分析近十年考研英语真题,提炼500高频词
· 建议每3天熟练掌握100高频词及其用法
微博关注@考虫考研萌酱 ,每天更新更多考研知识干货
11
0
6
考虫APP
7年前
【政治干货】
那些不明确名词包含关系整理 第一期
不明确名词,简单来说就是比较抽象的名词,比如“社会形态” “产业资本”
越是这种不明确的、内部关系容易混淆的名词,考试中越常考到。🐴
一天理解三四个,萌酱帮你搞定那些“不明确名词包含的关系”🤓
关注微博考虫考研萌酱,每日更新考研干货。
10
3
0
考虫APP
7年前
【最新整理:近十年500个考过10次以上的词汇 第3期】
· 考虫名师分析近十年考研英语真题,提炼500高频词
· 建议每3天熟练掌握100高频词及其用法
微博关注@考虫考研萌酱 ,每天更新更多考研知识干货
13
0
3
考虫APP
7年前
【最新整理:近十年500个考过10次以上的词汇 第1期】
· 考虫名师分析近十年考研英语真题,提炼500高频词
· 建议每3天熟练掌握100高频词及其用法
微博关注@考虫考研萌酱 ,每天更新更多考研知识干货
8
0
7
考虫APP
7年前
【最新整理:近十年500个考过10次以上的词汇 第1期】
· 考虫名师分析近十年考研英语真题,提炼500高频词
· 建议每3天熟练掌握100高频词及其用法
微博关注@考虫考研萌酱 ,每天更新更多考研知识干货
10
4
9
考虫APP
7年前
《脱口秀大会》卡司 郭展豪 今晚做客考虫app,分享他对幽默的小见解,教你如何搞定大学生活。公开课直通车:
www.kaochong.com
00:10
3
0
0
考虫APP
7年前
考虫成长学院系列公开课《考入名校》第一期顺利开讲。清华大学五道口金融学院的金溪学姐做客考虫分享自己的考研经验,干货满满。扫描二维码可以免费观看学姐的经验干货。
(个人经验不一定适用于所有同学,如果能为同学们提供一点小帮助,本虫就很开心啦。)
6
0
0
考虫APP
7年前
虽然常被称为“程序员”,但陶醉更喜欢“工程师”这个称呼。对于#青春不将就# 他说,在代码的世界,他愿意做虫子们的超级英雄!【转抽5个考虫挂件】
04:12
31
15
4
考虫APP
7年前
#青春不将就# 一份沉甸甸的黄色资料包,要经历16道工序,76双手,1986个小时,才最终呈现在你们面前。
看视频,教材小刘同学为你揭秘黄色资料包是怎么诞生的!【转抽5个考虫挂件】
04:38
7
6
8
考虫APP
7年前
对于#青春不将就# 的理解,细节控的产品小哥哥蔡李毅说,他希望自己做的产品,在显微镜下依然完美。【转抽5个考虫挂件】
04:32
8
10
7
考虫APP
7年前
#青春不将就#纪录片向大家展示了5个考虫人的幕后真实故事,这是萌酱第一次认真面对镜头。曾经萌酱也是一名虫子,现在是考虫萌酱,她的愿望是希望更多人,通过考虫的帮助,在学业上过关斩将。
转发评论,留下你对“青春不将就”的理解,【抽5位小可爱送出考虫挂件各一个】
04:09
16
18
3